搜索
首 页
对照品
标准品
标准物质
实验试剂
培养基
菌种购买
新闻中心
联系我们
当前位置:
标准品
>
标准品
>
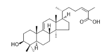
3β-羟基酰基诺斯塔9(11),24Z-二烯-26-油酸标准品
【编号】:VIP(X)0228
【产品名称】:3β-羟基酰基诺斯塔9(11),24Z-二烯-26-油酸标准品
【规格】:5mg
【价格】:4900元
3β-羟基酰基诺斯塔9(11),24Z-二烯-26-油酸标准品
编号:VIP(X)0228
英文:3β-Hydroxylanosta-9(11),24Z-dien-26-oic acid
CAS号:129724-83-0
分子式:C30H48O3
结构图:
规格:可定做:10mg;20mg;50mg;100mg
声明:此对照品、标准品由【中检计量】提供网站查询购买服务
注:点击cas,或者搜索:名称、编号、cas均可显示价格
上一篇:
米酵菌酸标准品
下一篇:没有了
产品明细
·
美国药典usp标准品
·
进口标准品购买
·
TRC标准品
·
化学标准品
·
英国药典对照品
·
欧洲药典标准品
·
农药标准品
·
中药标准品
·
TLC标准品
·
dr标准品
热销产品
新品上架
·
盐酸阿米洛利杂质(4-氨基-6-氯-1,3-苯基二硫酰胺)
·
核黄素磷酸钠混合物
·
苯噻清分析标准品
·
特丁噻草隆标准溶液
·
人参皂苷Rb1对照品
·
α-甲基吡啶对照品
·
环己二胺二硝酸合铂 (供奥沙利铂杂质Ⅰ检查)
·
5-羟基色氨酸对照品
·
曲克芦丁对照品
·
7-羟基-5,8-二甲氧基黄烷酮对照品
·
米酵菌酸标准品
·
米酵菌酸铵盐标准品
·
胭脂虫酸标准品
·
靛蓝二磺酸钠标准品
·
靛蓝(E132)标准品
·
Zapoterin标准品
·
南五味子酸标准品
·
固绿FCF标准品
·
Fast Green FCF标准品
·
木栓醇标准品
产品推荐
相关产品
·
B656130 N-Boc-glycine N-Carboxyanhydride
·
MM0055.12 特非那定杂质E标准品
·
H294025 (+)-六氢-3A-羟基-7A-甲基-1H-茚-1,5(6H)-二酮标准品
·
N491750 2-(硝)乙醇标准品
·
D448880 4,5-Dihydro Drospirenone 3-Sulfate Triethylammonium Salt (α/β-Mixture)
·
USP-1075644 次硝酸铋标准品(Bismuth Subnitrate)
·
E931985 Ethyl Xanthic Acid 2-Sulfoethyl Ester Potassium Salt标准品
·
BTC596 Citicoline Sodium Salt (CDP-Choline)
·
U850300 Uvinul A Plus标准品
·
ASD-P-425N 螨卵酯标准品
·
JC30737 酿酒酵母
·
D472695 1,1-二甲基-4,4'-联吡啶鎓盐二氯化物标准品
·
P839585 (-)-伪去甲麻黄碱标准品
·
SPR03785 8-O-去苯甲酰基芍药甙对照品
·
滴定法测定酸或碱的摩尔浓度
·
M294150 Methyl3,5-Bis-O-(2,4-dichlorobenzyl)-α-D-ribofuranoside
·
N359322 3-(1-Naphthalenyloxy)-1,2-propanediol-d5
·
JI22617 蜡状芽胞杆菌
·
OTS-031673-01 乙嘧酚磺酸酯标准品 100mg/L于甲醇,1 ml
·
LD087004 N-去甲基多非利特-d4标准品
首 页
|
对照品
|
标准品
|
标准物质
|
实验试剂
|
培养基
|
菌种购买
|
新闻中心
|
联系我们
|
网站地图
2011-2018 中检计量-莱耀生物@版权所有