Betamethasone Tripropionate-d15标准品
                    | 【编号】:B327052 【产品名称】:Betamethasone Tripropionate-d15标准品 【规格】:10mg,100mg 【用途】:  Betamethasone Tripropionate-d15标准品
	  货号:B327052 
	  英文名称:Betamethasone Tripropionate-d15 
	  别名: (11β,16β)-9-Fluoro-16-methyl-11,17,21-tris(1-oxopropoxy-d5)pregna-1,4-diene-3,20-dione; Betamethasone 11,17,21-Tripropionate-d15; 
	  规格:10mg,100mg 
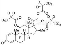
	  结构式:  
	  分子式:C31H26D15FO8 
	  分子量:575.74 
	  产品类别:加拿大标准品,北京莱耀生物提供 
	  注:产品名称以英文名称为准 | 
| 上一篇:1-金刚烷甲酰胺-d15标准品 | 下一篇:AKB48-d15 N-Pentanoic Acid标准品 | 
|---|
热销产品 新品上架
产品推荐 相关产品
- ·TA618165 他唑巴坦杂质A标准品
- ·B200800 Boc-beta-cyano-l-alanine
- ·ASD-H-127N 奥苷菊环标准品
- ·C368775 2-氯甲基-4-(3-甲氧基丙氧基)-3-甲基吡啶盐酸盐标准品
- ·A809765 4-氮杂卓醇标准品
- ·M226080 4-甲氧基二苯甲酮标准品
- ·A965100 2-硝基咪唑标准品(Azomycin)
- ·UP1546955 聚甘油-6二油酸酯(Polyglyceryl 6 Dioleate)
- ·B683715 5-Bromo-2'-deoxy-2'-fluorouridine
- ·D231290 Demethylpiperazinyl Iso Sildenafil Sulfonyl Chloride

