噻萘普汀-d12标准品
                    | 【编号】:T436802 【产品名称】:噻萘普汀-d12标准品 【规格】:0.5mg,5mg 【用途】:  噻萘普汀-d12标准品
	  货号:T436802 
	  英文名称:Tianeptine-d12 
	  别名:7-[(3-Chloro-6,11-dihydro-6-methyldibenzo[c,f][1,2]thiazepin-11-yl)amino]heptanoic Acid-d12 S,S-Dioxide; (+/-)-7-[(3-Chloro-6,11-dihydro-6-methyldibenzo[c,f][1,2] thiazepin-11-yl)amino]heptanoic Acid-d12 S,S-Dioxide; Coaxil-d12; 
	  规格:0.5mg,5mg 
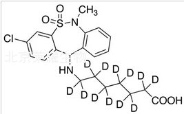
	  结构式:  
	  CAS号:1189870-26-5 
	  分子式:C21H13D12ClN2O4S 
	  分子量:449.03 
	  产品类别:加拿大标准品,北京莱耀生物提供 
	  注:产品名称以英文名称为准 | 
| 上一篇:Thiodiphosphoric Acid Tetramethyl Ester | 下一篇:噻萘普汀-d4标准品 | 
|---|
热销产品 新品上架
产品推荐 相关产品
- ·B519499 双酚A-d8标准品
- ·A726507 芹菜素-7-葡萄糖醛酸-d5标准品
- ·T524003 妥布霉素-D, 18O标准品
- ·A617505 3-(5-Amino-3-methyl-1H-pyrazol-1-yl)-Benzoic Acid Hydrochloride标准品
- ·D434485 N-[4,6-Dichloro-5-(formylamino)-2-pyrimidinyl]acetamide
- ·A628940 4-Amino-1-(trifluoromethyl)cyclohexanol Hydrochloride标准品
- ·M161525 Malvone A标准品
- ·P992503 1-(3-Pyridyl-13C6)-1,4-butanediol
- ·A629155 2-氨基-3-氰基吡啶标准品
- ·A629230 erythro-ω-Amino Sphingosine Biotinamide

