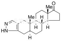
(5α)-2’H-Androst-2-eno[3,2-c]pyrazol-17-one
                    | 【编号】:A637515 【产品名称】:(5α)-2’H-Androst-2-eno[3,2-c]pyrazol-17-one 【规格】:50mg 【用途】:  (5α)-2’H-Androst-2-eno[3,2-c]pyrazol-17-one标准品
	  货号:A637515 
	  英文名称: (5α)-2’H-Androst-2-eno[3,2-c]pyrazol-17-one 
	  别名: (5α)-17-Oxo-5-androstano[3,2-c]pyrazole 
	  规格:50mg 
	  结构图:  
	  CAS号:129545-93-3 
	  分子式:C₂₀H₂₈N₂O 
	  分子量:312.45 
	  产品类别:标准对照品,北京莱耀生物提供 
	  注:产品名称以英文名称为准 | 
| 上一篇:5α-Androst-15-ene-3,17-dione | 下一篇:rac Anatalline (cis/trans mixture) | 
|---|
热销产品 新品上架

