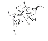
塔拉萨敏
                    | 【编号】:LY0857 【产品名称】:塔拉萨敏 【规格】:20mg 【用途】:本品仅用于实验室科研含量测定  塔拉萨敏
	  别名:塔拉乌头胺 
	  英文名称:Talatisamine 
	  分子式:24H39NO5 
	  分子量:421.57 CAS号:20501-56-8 
	  溶解度:甲醇 
	  性状:白色结晶粉末  | 
| 上一篇:特女贞苷对照品 | 下一篇:土荆皮甲酸 | 
|---|
热销产品 新品上架

