产品编号:YJ-510226
产品规格:20mg
产品价格:1000元
产品详情
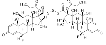
丙酸氟替卡松杂质Ⅸ
Fluticasone Propionate Impurity Ⅸ
【类别】化学对照品
【批号】510226-202301
【结构式】

【分子式】C48H 58 F4 O10S 3
【分子量】967.16
【CAS 号】960071-64-1
【用途】供 HPLC 法检查用。
【使用方法】使用前不需干燥处理。
【包装】棕色西林瓶
【规格】20mg/支
【贮藏】遮光,密闭,-20℃保存。
类型:
丙酸氟替卡松杂质