头孢泊肟酯EP杂质D标准品
                    | 【编号】:LC855 【产品名称】:头孢泊肟酯EP杂质D标准品 【规格】:10mg 【用途】:  头孢泊肟酯EP杂质D标准品
	  编号:LC855 
	  英文:Cefpodoxime Proxetil EP Impurity D;头孢泊肟酯杂质D 
	  规格:10mg 
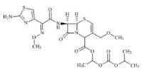
	  结构图:  
	  CAS号:947692-13-9 
	  分子式:C21H27N5O9S2 
	  分子量:557.59 
	  随货:COA、HPLC、MS、HNMR、图谱 
	  产品类别:头孢泊肟酯杂质 
	  声明:此对照品、标准品由国家标准品网提供查询购买服务 
	注:点击cas,或者搜索:名称、编号、cas均可显示价格 | 
| 上一篇:头孢泊肟酯EP杂质C标准品 | 下一篇:没有了 | 
|---|
热销产品 新品上架
产品推荐 相关产品
- ·MM0801.00 盐酸奥芬那君标准品
- ·S485030 Simvastatin, 1-Pyreneacetyl Ester标准品
- ·A161220 对乙酰氨基酚标准品
- ·TB679998 3-溴-2-(3'-溴苄氧基)苯基硼酸标准品
- ·BTB687580 1-(4-Bromo-1-phenylbutyl)-4-fluorobenzene
- ·BTB684743 2-溴-8-氯喹啉标准品
- ·DL12170000AL 敌草净标准品
- ·A595670 5-氨基-2-氯-4-甲基嘧啶标准品
- ·BTLA-961 Acedoben标准品
- ·BTB689095 N-(2-Bromo-4-(N-(methoxymethyl)-N-(pyridin-2-yl)sulfamoyl)phenyl)-N-(methoxymethyl)acetami

