卡比多巴-D3标准品(Carbidopa-d3)
| 【编号】:LD325 【产品名称】:卡比多巴-D3标准品(Carbidopa-d3) 【规格】:10mg 【用途】: ![]() 卡比多巴-D3标准品
编号:LD325
英文:Carbidopa-d3
规格:10mg
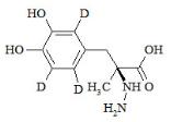
结构图:
![]()
CAS号:28860-95-9 (non-d)
分子式:C10H11N2O4D3
分子量:229.25
随货:COA、图谱
产品类别:卡比多巴
声明:此对照品、标准品由国家标准品网提供查询购买服务
注:点击cas,或者搜索:名称、编号、cas均可显示价格
|
| 上一篇:Methyldopa EP Impurity C HCl H2O | 下一篇:没有了 |
|---|
热销产品 新品上架
产品推荐 相关产品
- ·H953312 rac 4-Hydroxy-9-cis-retinoic Acid-d3
- ·B382000 比卡鲁胺标准品
- ·BTLA-288 反式-阿巴卡韦盐酸盐标准品
- ·A630315 2-氨基-1,3,4-噻二唑标准品
- ·BTLB-111008 比哌立登杂质E标准品
- ·C315010 ChitotrioseUndecaacetate标准品
- ·M482512 莫达非尼羧酸-D5(非对映体的混合物)标准品
- ·ASD-PEO-007S 4-N-壬基酚单聚氧乙烯醚标准品 100 µg/mL于甲醇,1mL
- ·LC7614 头孢托仑杂质P14标准品
- ·DL12210000CY 二嗪磷标准品10ng/ul于环己烷
- ·JC31292 酿酒酵母
- ·N676005 Norethindrone β-D-Glucuronide
- ·T122835 2-(三氟甲氧基)苄基溴,98%
- ·OTS-020202-18 乙醇标准品 1000mg/L于P/T甲醇,1 ml
- ·M341502 盐酸米安色林-D3标准品(Mianserin-d3 Dihydrochloride)
- ·N389910 Neo-Cyanine 3标准品
- ·DC14349000 碘他拉葡胺标准品
- ·BTLB-085016 4-(氨基甲基)苯甲酸甲酯标准品
- ·ASD-H-182N 2-甲基荧蒽标准品
- ·120182 5-(4-苯氧基丁氧基)补骨脂素(PAP-1), 98%



