度他雄胺杂质J标准品
                    | 【编号】:LD3518 【产品名称】:度他雄胺杂质J标准品 【规格】:10mg 【用途】:  度他雄胺杂质J标准品
	  编号:LD3518 
	  英文:Dutasteride Impurity J 
	  规格:10mg 
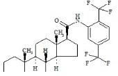
	  结构图:  
	  CAS号:164656-21-7 
	  分子式:C27H30F6N2O2 
	  分子量:528.54 
	  随货:COA、图谱 
	  产品类别:度他雄胺杂质 
	  声明:此对照品、标准品由国家标准品网提供查询购买服务 
	注:点击cas,或者搜索:名称、编号、cas均可显示价格 | 
| 上一篇:度他雄胺杂质(Dutasteride Impurity) | 下一篇:没有了 | 
|---|
热销产品 新品上架
产品推荐 相关产品
- ·Y0001194 白藜芦醇标准品(Resveratrol)
- ·BTLA-2518 盐酸托莫西汀杂质4标准品
- ·M261080 1-(4-甲氧基苄基)-2,3-二氢咪唑并[1,2-a]吡啶-1-鎓氯化物标准品
- ·USP-1358809 左旋沙丁胺醇相关化合物B标准品(Levalbuterol Related Compound B)
- ·P997415 吡啶硫胺标准品
- ·B108912 乙基叔丁基醚分析标准品
- ·BTLB-133002 啶酰菌胺-d4标准品
- ·ASD-M-608.1 Method 608.1 - Organochlorine Pesticides
- ·ASD-P-030S 兹克威标准品 100 μg/mL于甲醇, 1mL
- ·A608820 (2RS,3RS)-1-Amino-3-(2-ethoxyphenoxy)-2-hydroxy-3-phenylpropaneMethanesulfonateSalt

