克林霉素B 2-磷酸酯标准品
| 【编号】:RC580095 【产品名称】:克林霉素B 2-磷酸酯标准品 【规格】:0.5mg 【用途】: ![]() 克林霉素B 2-磷酸酯标准品
编号:RC580095
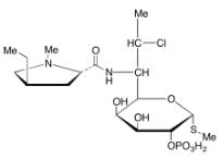
英文:Clindamycin B 2-Phosphate
别名: (2S-trans)-Methyl 7-Chloro-6,7,8-trideoxy-6-[[(4-ethyl-1-methyl-2-pyrrolidinyl)carbonyl]amino]-1-thio-L-threo-α-D-galacto-Octopyranoside 2-(dihydrogen phosphate);
规格:0.5mg
结构图:
![]()
CAS号:54887-31-9
分子式:C₂₆H₃₈ClN₂O₁₄PS
分子量:490.94
随货:COA、图谱
产品类别:多尼培南杂质
声明:此对照品、标准品由国家标准品网提供查询购买服务
注:点击cas,或者搜索:名称、编号、cas均可显示价格
|
| 上一篇:7-差向盐酸克林霉素标准品 | 下一篇:没有了 |
|---|
热销产品 新品上架
产品推荐 相关产品



