Dorzolamide Impurity D HCl (N-Desethyl Dorzolamide HCl)
| 【编号】:LD642 【产品名称】:Dorzolamide Impurity D HCl (N-Desethyl Dorzolamide HCl) 【规格】:10mg 【用途】: ![]() 盐酸多佐胺杂质D标准品
货号:LD642
英文:Dorzolamide Impurity D HCl (N-Desethyl Dorzolamide HCl)
规格:10mg
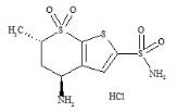
结构式:
![]()
CAS号:164455-27-0
分子式:C8H12N2O4S3. HCl
分子量:296.39 36.46
产品类别:多佐胺杂质
声明:此对照品、标准品由标准品信息网提供查询购买服务
注:点击cas,或者搜索:名称、编号、cas均可显示价格
|
| 上一篇:多佐胺杂质11标准品 | 下一篇:没有了 |
|---|
热销产品 新品上架
产品推荐 相关产品
- ·B691590 17-O-tert-Butyldimethylsilyl5,14-Androstadiene-3β,17β-diol标准品
- ·BTC379 克拉霉素EP杂质E标准品
- ·A609405 N-(Aminoethyl)-8-naphthylamine-1-sulfonic Acid Sodium Salt
- ·MM0033.12 盐酸右啡烷-D3标准品(Dextrorphan-d3 Hydrochloride)
- ·BTB688705 3-Bromo-2-(trifluoromethyl)benzoic Acid Methyl Ester
- ·A595560 2-氨基-5-氯-4-甲氧基苯酚标准品
- ·DL20032600CY PCB-Mix 26标准品
- ·119889 2-(对甲苯基)吡啶98%
- ·C110001 灭蝇胺分析标准品
- ·E915000 N-Ethyldeoxynojirimycin Hydrochloride标准品



