搜索
首 页
对照品
标准品
标准物质
实验试剂
培养基
菌种购买
新闻中心
联系我们
当前位置:
标准品
>
标准品
>
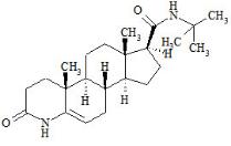
非那雄胺杂质(Finasteride Impurity)
【编号】:LF054
【产品名称】:非那雄胺杂质(Finasteride Impurity)
【规格】:10mg
【用途】:
非那雄胺杂质
编号:LF054
英文:Finasteride Impurity
规格:10mg
结构式:
CAS号:
166896-74-8
分子式:C23H36N2O2
分子量:372.56
产品类别:
非那雄胺杂质
声明:此对照品、标准品由【中检计量】提供查询购买服务
注:点击cas,或者搜索:名称、编号、cas均可显示价格
上一篇:
Finasteride EP Impurity B (Dutasteride Ester Impurity)
下一篇:没有了
产品明细
·
美国药典usp标准品
·
进口标准品购买
·
TRC标准品
·
化学标准品
·
英国药典对照品
·
欧洲药典标准品
·
农药标准品
·
中药标准品
·
TLC标准品
·
dr标准品
热销产品
新品上架
·
盐酸阿米洛利杂质(4-氨基-6-氯-1,3-苯基二硫酰胺)
·
核黄素磷酸钠混合物
·
苯噻清分析标准品
·
特丁噻草隆标准溶液
·
人参皂苷Rb1对照品
·
α-甲基吡啶对照品
·
环己二胺二硝酸合铂 (供奥沙利铂杂质Ⅰ检查)
·
5-羟基色氨酸对照品
·
曲克芦丁对照品
·
7-羟基-5,8-二甲氧基黄烷酮对照品
·
非那雄胺杂质(Finasteride Impurity)
·
Finasteride EP Impurity B (Dutasteride Ester Impurity)
·
非那雄胺杂质7标准品
·
非那雄胺EP杂质A标准品
·
非那雄胺杂质5标准品
·
非那雄胺杂质3标准品
·
非那雄胺杂质2标准品
·
非那雄胺杂质6标准品
·
Finasteride Dihydro Carboxylic Acid Methyl Ester
·
Finasteride Impurity 1 (Dutasteride EP Impurity A)
产品推荐
相关产品
·
C366535 3-氯格列本脲标准品
·
H952327 7-羟基丙氯拉嗪-d8标准品
·
LE071011 厄他培南二聚体I(Ertapenem Dimer I)
·
PU590005SD9 盐酸克伦特罗-D9标准品
·
B619260 4-(Boc-amino)-1-(Fmoc-piperidinyl)-4-carboxylic Acid
·
B286505 N-2-(4-Benzyloxy-3-methoxyphenethyl)-4-benzyloxy-3-ethoxycarbonyloxyphenylacetamide
·
H945100 羟基甲丙氨酯标准品
·
V094271 L-缬氨酸苄酯盐酸盐标准品
·
USP-1368201 α-硫辛酸标准品(Alpha Lipoic Acid)
·
A601550 碘帕醇杂质A标准品
·
124696 CP-335963, ≥98%(HPLC)
·
DC14191500 正十六烷标准品
·
USP-1222501 磷酸丙吡胺标准品(Disopyramide Phosphate)
·
ASD-AS-E0072 苯并(B)荧蒽标准溶液 2.5 mg/mL于丙酮, 1mL
·
B285500 Benzyl Methanethiosulfonate
·
UP1078008 马来酸溴苯那敏标准品(Brompheniramine Maleate)
·
GBW(E)081533 无机元素混合溶液标准物质
·
农残标准品属于什么?农业部农残标准品目录
·
SPR02178 野黑樱苷对照品
·
ASD-M-8270-05 Semi-Volatile by Capillary Column GC/MS Mix 5
首 页
|
对照品
|
标准品
|
标准物质
|
实验试剂
|
培养基
|
菌种购买
|
新闻中心
|
联系我们
|
网站地图
2011-2018 信阳市中检计量生物科技有限公司 版权所有 豫ICP备17046142号