黄芪皂苷III标准品
                    | 【编号】:VIP(X)04049 【产品名称】:黄芪皂苷III标准品 【规格】:5mg;98% 【价格】:1400元  黄芪皂苷III标准品
	  编号:VIP(X)04049 
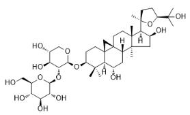
	  英文:Astragaloside III 
	  CAS号:84687-42-3 
	  分子式:C41H68O14 
	  结构图:  
	  资料:液相和核磁(HPLC H-NMR 和COA) 
	  规格:可定做:10mg;20mg;50mg;100mg 
	  声明:此对照品、标准品由【中检计量】提供网站查询购买服务 
	  注:点击cas,或者搜索:名称、编号、cas均可显示价格 | 
| 上一篇:丁基黄原酸标准品 | 下一篇:没有了 | 
|---|
热销产品 新品上架
产品推荐 相关产品
- ·M0088000 天冬氨酸镁二水合物标准品(Magnesium aspartate dihydrate)
- ·BTB688110 4-溴-2-噻吩甲醛标准品
- ·BTLA-685 N-去甲氮卓斯汀标准品
- ·ASD-P-261S 三氯杀螨砜标准品 100 μg/mL于甲醇, 1mL
- ·OTS-110034-05-4PAK 欧盟7种邻苯二甲酸酯混标(DEHP、DBP、BBP、DINP、DNOP、DIDP、DIBP)(定制
- ·L13678000AC 氟苯哒唑标准品10ng/ul于丙酮
- ·E932162 2-乙炔基-13C6标准品(2-Ethynylbiphenyl-13C6)
- ·ASD-P-276N 磺草灵标准品
- ·OTS-121820-01-1ml 异丙醇、四乙基锡混标
- ·EY0000591 长春西汀杂质B标准品(Vinpocetine impurity B)

