搜索
首 页
对照品
标准品
标准物质
实验试剂
培养基
菌种购买
新闻中心
联系我们
当前位置:
标准品
>
标准品
>
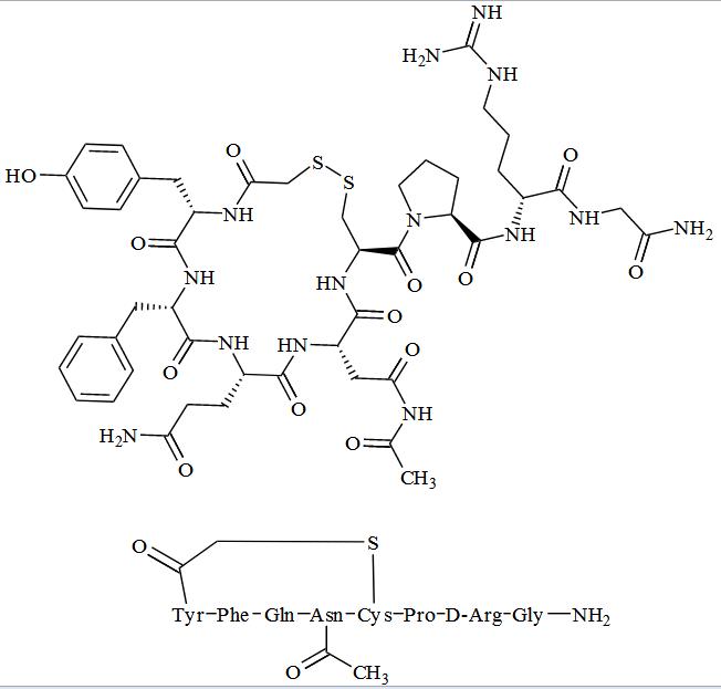
N4.5-[(acetylamino)methyl]-Desmopressin EP Impurity F标准品
【编号】:PD-829
【产品名称】:N4.5-[(acetylamino)methyl]-Desmopressin EP Impurity F标准品
【规格】:10mg
【价格】:12800元
N4.5-[(acetylamino)methyl]-Desmopressin EP Impurity F标准品
编号:PD-829
名称:N4.5-[(acetylamino)methyl]-Desmopressin EP Impurity F
分子式:C47H64N14O13S2
分子量:1097.20
结构图:
声明:此对照品、标准品由【中检计量】提供网站查询购买服务
注:点击cas,或者搜索:名称、编号、cas均可显示价格
上一篇:
NaDMDTC-D6 hydrate (see Data Sheet)
下一篇:没有了
产品明细
·
美国药典usp标准品
·
进口标准品购买
·
TRC标准品
·
化学标准品
·
英国药典对照品
·
欧洲药典标准品
·
农药标准品
·
中药标准品
·
TLC标准品
·
dr标准品
热销产品
新品上架
·
盐酸阿米洛利杂质(4-氨基-6-氯-1,3-苯基二硫酰胺)
·
核黄素磷酸钠混合物
·
苯噻清分析标准品
·
特丁噻草隆标准溶液
·
人参皂苷Rb1对照品
·
α-甲基吡啶对照品
·
环己二胺二硝酸合铂 (供奥沙利铂杂质Ⅰ检查)
·
5-羟基色氨酸对照品
·
曲克芦丁对照品
·
7-羟基-5,8-二甲氧基黄烷酮对照品
·
N4.5-[(acetylamino)methyl]-Desmopressin EP Impurity F标准品
·
NaDMDTC-D6 hydrate (see Data Sheet)
·
N5.4-[(acetylamino)methyl]-Desmopressin EP Impurity E
·
苯达松 (灭草松)-D7标准品(Bentazon-D7)
·
克百威-D3标准品(Carbofuran-D3)
·
甲草胺-D13标准品(Alachlor-D13)
·
西玛津-D10标准品(Simazine-D10)
·
Nabam-D4水合物标准品(Nabam-D4 hydrate (see Data Sheet))
·
抗蚜威-d6标准品(Pirimicarb-D6)
·
嗪氨灵-D8标准品(Triforine-D8)
产品推荐
相关产品
·
H905400 11β-羟基诺孕素标准品
·
VIP(XL)02964 海罂粟碱标准品
·
A629075 6-氨基嘧啶-4-醇标准品(6-Aminopyrimidin-4-ol)
·
D308875 3,4-Di-O-acetyl-1,6-anhydro-2-O-p-toluenesulfonyl-β-D-glucopyranose
·
M323115 α-Methyl-α-[3-(methylnitrosoamino)propyl]-3-pyridinemethanol标准品
·
H946990 (17β)-17-Hydroxy-17-methyl-estra-5(10),9(11)-dien-3-one标准品
·
BTLA-0517 阿莫曲坦杂质5标准品
·
D435660 2-[(2,6-二氯苯基)氨基]苯甲醛(双氯芬酸杂质)标准品
·
B693835 4-丁基哌啶盐酸盐标准品
·
ASD-BDE-183S PBDE 183(2,2‘,3,4,4‘,5‘,6-七溴联苯醚) 标准品
·
ASD-P-467N 2,3,5,6-四氯硝基苯标准品
·
新房装修后如何除甲醛除甲醛最好的方法
·
PR0930 苜蓿内酯对照品
·
SPR01725 22-Hydroxy-3-oxo-12-ursen-30-oic acid
·
TB680552 4’-溴-[1,1’-联苯]-4-甲醛标准品
·
123156 6,11-二氢-11-氧二苯并[b,e]氧杂卓-2-乙酸97.0%
·
D417105 2-(2-(4-(Dibenzo[b,f][1,4]thiazepin-11-yl)piperazin-1-yl)ethoxy)ethanol
·
BTLA-200001 阿尼芬净标准品
·
100171 锌试剂AR
·
BTLB-4812 巴多昔芬杂质6标准品
首 页
|
对照品
|
标准品
|
标准物质
|
实验试剂
|
培养基
|
菌种购买
|
新闻中心
|
联系我们
|
网站地图
2011-2018 中检计量-莱耀生物@版权所有