头孢替安杂质2标准品
| 【编号】:BTC10305 【产品名称】:头孢替安杂质2标准品 【规格】:10mg 【用途】: ![]() 头孢替安杂质2标准品
编号:BTC10305
英文:Cefotiam Impurity 2
规格:10mg
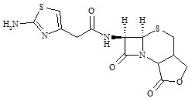
结构图:
![]()
分子式:C13H14N4O4S2
分子量:354.41
产品类别:进口杂质对照品,由国家标准品网提供查询购买服务
注:点击cas号即可显示价格
|
| 上一篇:头孢替安杂质1标准品 | 下一篇:没有了 |
|---|
热销产品 新品上架
产品推荐 相关产品
- ·BTC0214 卡维地洛杂质B标准品(Carvedilol Impurity B)
- ·BTLB-2411 比马前列素杂质3标准品
- ·BTLB-2324 Beclomethasone-17-monopropionate-d3
- ·BTLB-170001 Brilanestrant标准品
- ·BTLC0116 坎地沙坦酯杂质3标准品
- ·BTLB-065012 Betamethasone Valerate EP Impurity E (Betamethasone 21-Valerate)
- ·BTC0815 环丙沙星氮氧化物(Ciprofloxacin N-Oxide)
- ·BTC0225 卡维地洛-13C6标准品
- ·BTLB-133003 Hydroxy Boscalid标准品
- ·BTLB-498 苄达明氮氧化物-d5(Benzydamine-d5 N-oxide)
- ·B287602 4'-O-苯羟基保泰松-d9标准品
- ·OTS-020202-17 乙醇标准品 10000mg/L于水,HPLC级别,1 ml
- ·D470700 α-[2-(二甲胺基)乙基]氢化肉桂酸标准品
- ·BTLB-558 苯海索杂质6标准品
- ·B653430 N-(N'-Boc-2-乙基胺)邻苯二甲酰亚胺标准品
- ·N104645 对硝基甲苯,99%
- ·E899975 EthylBenzo[6,7]-4-oxo-4H-quinolizine-3-carboxlate
- ·Y0001228 福辛普利杂质A标准品(Fosinopril impurity A)
- ·PR0029 1-乙酸基-5-去乙酰基-巴卡亭I对照品
- ·P756050 DL-脯氨酸标准品



