搜索
首 页
对照品
标准品
标准物质
实验试剂
培养基
菌种购买
新闻中心
联系我们
当前位置:
标准品
>
标准品
>
dr标准品
>
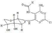
克罗拉滨相关化合物1标准品
【编号】:BTC11502
【产品名称】:克罗拉滨相关化合物1标准品
【规格】:10mg
【用途】:
克罗拉滨相关化合物1标准品
编号:BTC11502
英文:Clofarabine Related Compound 1
规格:10mg
结构图:
分子式:C10H13ClFN5O4
分子量:321.70
随货:COA、HPLC、MS、HNMR、图谱
产品类别:
进口杂质对照品
,由国家标准品网提供查询购买服务
注:点击cas号即可显示价格
上一篇:
克罗拉滨标准品(Clofarabine)
下一篇:没有了
产品明细
·
美国药典usp标准品
·
进口标准品购买
·
TRC标准品
·
化学标准品
·
英国药典对照品
·
欧洲药典标准品
·
农药标准品
·
中药标准品
·
TLC标准品
·
dr标准品
热销产品
新品上架
·
盐酸阿米洛利杂质(4-氨基-6-氯-1,3-苯基二硫酰胺)
·
核黄素磷酸钠混合物
·
苯噻清分析标准品
·
特丁噻草隆标准溶液
·
人参皂苷Rb1对照品
·
α-甲基吡啶对照品
·
环己二胺二硝酸合铂 (供奥沙利铂杂质Ⅰ检查)
·
5-羟基色氨酸对照品
·
曲克芦丁对照品
·
7-羟基-5,8-二甲氧基黄烷酮对照品
·
克罗拉滨相关化合物1标准品
·
克罗拉滨标准品(Clofarabine)
·
DL-Serine hydrazide HCl标准品
·
D-丝氨酸叔丁酯盐酸盐标准品
·
头孢地尼-13C-15N2标准品
·
N-acetyl-D-serine标准品
·
Cycloserine Impurity 5 (3,6-Dimethylene-2,5-piperazinedione)
·
Cycloserine Impurity 4 (L-Cycloserine)
·
盐酸环丝氨酸杂质3标准品
·
Cycloserine Impurity 2 (D-Serine methyl ester hydrochloride)
产品推荐
相关产品
·
BTLB-127 Hydroxy O-Desmethyl Bosentan
·
BTLB-6110 炔丙基苯磺酸-13C6标准品(Propargyl benzenesulfonate-13C6)
·
BTC0232 卡维地洛杂质4标准品
·
BTLB-0721 丁螺环酮相关化合物G标准品
·
BTC1046 皮质酮杂质1标准品
·
BTLB-4341 苯达莫司汀杂质26标准品
·
BTC10503 环索奈德-D11标准品
·
BTLB-529 苯并芘相关化合物5标准品
·
BTC10307 头孢替安杂质4标准品
·
BTC1085 辛可卡因氮氧化物(Cinchocaine N-Oxide)
·
F593165 Δ-9(11)-Fluorometholone Acetate标准品
·
BTLB-085017 4-(Aminomethyl)benzoic acid methyl ester-13C-d3 HCl
·
90081 槐果碱
·
M326832 1-Methyl-4-pyrazoleboronicAcid-d3标准品
·
GSB07-2774-2011 正己烷中环氧七氯B标准溶液(标液)
·
ASD-P-826S-CN 啶嘧磺隆标准品 100 μg/mL于乙腈, 1mL
·
熬中药用什么锅最好?熬中药的正确方法
·
A766552 AR-C133913XX-d7标准品
·
MM0623.03 磺胺嘧啶杂质A标准品
·
T101281 对三氟甲氧基苯肼盐酸盐, 98%
首 页
|
对照品
|
标准品
|
标准物质
|
实验试剂
|
培养基
|
菌种购买
|
新闻中心
|
联系我们
|
网站地图
2011-2018 河南寻梦版权所有
豫ICP备17046142号