搜索
首 页
对照品
标准品
标准物质
实验试剂
培养基
菌种购买
新闻中心
联系我们
当前位置:
标准品
>
标准品
>
dr标准品
>
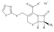
头孢替唑杂质6标准品
【编号】:BTC185007
【产品名称】:头孢替唑杂质6标准品
【规格】:10mg
【用途】:
头孢替唑杂质6标准品
编号:BTC185007
英文:Ceftezole Impurity 6
规格:10mg
结构图:
分子式:C10H9N4O3S3. Na
分子量:329.40 22.99
随货:COA、HPLC、MS、HNMR、图谱
产品类别:
头孢替唑杂质
声明:此对照品、标准品由国家标准品网提供查询购买服务
注:点击cas号即可显示价格
上一篇:
头孢替唑杂质5标准品
下一篇:没有了
产品明细
·
美国药典usp标准品
·
进口标准品购买
·
TRC标准品
·
化学标准品
·
英国药典对照品
·
欧洲药典标准品
·
农药标准品
·
中药标准品
·
TLC标准品
·
dr标准品
热销产品
新品上架
·
盐酸阿米洛利杂质(4-氨基-6-氯-1,3-苯基二硫酰胺)
·
核黄素磷酸钠混合物
·
苯噻清分析标准品
·
特丁噻草隆标准溶液
·
人参皂苷Rb1对照品
·
α-甲基吡啶对照品
·
环己二胺二硝酸合铂 (供奥沙利铂杂质Ⅰ检查)
·
5-羟基色氨酸对照品
·
曲克芦丁对照品
·
7-羟基-5,8-二甲氧基黄烷酮对照品
·
头孢替唑杂质6标准品
·
头孢替唑杂质5标准品
·
头孢替唑杂质4标准品
·
盐酸头孢替唑杂质3标准品
·
玉米赤霉醇(异构体混合物)标准品
·
头孢替唑杂质2标准品
·
头孢替唑杂质1标准品
·
戴尔根霉
·
葡枝根霉
·
爪哇根霉
产品推荐
相关产品
·
BTC11115 头孢吡肟杂质3标准品
·
BTC158002 头孢罗林酯杂质1标准品(Ceftaroline Fosamil Impurity 1)
·
BTC10916 头孢布烯杂质15标准品
·
BTC149001 Calcium Lactogluconate标准品
·
BTLB-165 D-酒石酸溴莫尼定标准品
·
BTC0248 (S)-(-)-5’-羟基苯基卡维地洛标准品
·
BTLB-115001 依匹唑派标准品
·
BTI2522 伊潘立酮杂质5标准品
·
BTC154002 盐酸卡替洛尔杂质D标准品
·
BTC140015 氯噻酮杂质3标准品
·
CICC23894 Pseudomonas baetica
·
OTS-163158-01-01 15种元素ICP-MS混标,溶于5% HNO3
·
P276302 戊糖素-13C,d2标准品
·
Y0001416 二丙酸倍他米松峰鉴定(Betamethasone dipropionate for peak identification)
·
OTS-031568-04-05 苯胺灵标准品 1000mg/L于乙腈,5 ml
·
B1152050 Bromperidol decanoate标准品
·
D494632 Di-p-tolyl Phosphorochloridate-d14
·
BTLB-115004 依匹唑派杂质3标准品
·
102859 司班20, CP
·
M723780 (4-Morpholinylimino)acetonitrile标准品
首 页
|
对照品
|
标准品
|
标准物质
|
实验试剂
|
培养基
|
菌种购买
|
新闻中心
|
联系我们
|
网站地图
2011-2018 河南寻梦版权所有
豫ICP备17046142号