搜索
首 页
对照品
标准品
标准物质
实验试剂
培养基
菌种购买
新闻中心
联系我们
当前位置:
标准品
>
标准品
>
dr标准品
>
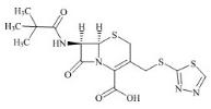
头孢替唑杂质20标准品
【编号】:BTC185021
【产品名称】:头孢替唑杂质20标准品
【规格】:10mg
【用途】:
头孢替唑杂质20标准品
编号:BTC185021
英文:Ceftezole Impurity 20
规格:10mg
结构图:
分子式:C15H18N4O4S3
分子量:414.51
随货:COA、HPLC、MS、HNMR、图谱
产品类别:
头孢替唑杂质
声明:此对照品、标准品由国家标准品网提供查询购买服务
注:点击cas号即可显示价格
上一篇:
头孢替唑杂质19标准品
下一篇:没有了
产品明细
·
美国药典usp标准品
·
进口标准品购买
·
TRC标准品
·
化学标准品
·
英国药典对照品
·
欧洲药典标准品
·
农药标准品
·
中药标准品
·
TLC标准品
·
dr标准品
热销产品
新品上架
·
盐酸阿米洛利杂质(4-氨基-6-氯-1,3-苯基二硫酰胺)
·
核黄素磷酸钠混合物
·
苯噻清分析标准品
·
特丁噻草隆标准溶液
·
人参皂苷Rb1对照品
·
α-甲基吡啶对照品
·
环己二胺二硝酸合铂 (供奥沙利铂杂质Ⅰ检查)
·
5-羟基色氨酸对照品
·
曲克芦丁对照品
·
7-羟基-5,8-二甲氧基黄烷酮对照品
·
头孢替唑杂质20标准品
·
头孢替唑杂质19标准品
·
头孢替唑杂质18标准品
·
头孢替唑杂质17标准品
·
头孢替唑杂质16标准品
·
头孢替唑杂质15标准品
·
头孢替唑杂质14标准品
·
头孢替唑杂质13标准品
·
胆固醇纯度标准物质
·
头孢替唑杂质12标准品
产品推荐
相关产品
·
BTLB-176 比拉斯汀氮氧化物
·
BTC101010 丙酸氯倍他索杂质2标准品
·
BTLB-0914 比索洛尔EP杂质N标准品
·
BTLA236001 卡莫司汀标准品(Carmustine)
·
BTB0513 安非他酮杂质E标准品
·
BTLB-115018 依匹唑派杂质16标准品
·
BTC127002 头孢丙烯杂质D标准品(Cefprozil Impurity D)
·
BTLB-079008 Benzbromarone Impurity 5 (Dibromohydroxy Benzoic Acid)
·
BTLB-4516 苯佐卡因杂质2标准品
·
BTC106014 头孢噻肟二聚体(Cefotaxime Dimer)
·
MM0528.02 枸橼酸芬太尼杂质B标准品
·
DC16955000 西玛津-2-羟基标准品
·
CICC1345 酿酒酵母
·
D230070 trans-4,5-Dehydro-DL-homoarginine Dihydrochloride
·
N104111 2-萘胺-1-磺酸, 98%
·
LY0361 双去氧基姜黄素
·
122416 丙酰乙酸乙酯, 97%
·
Y0000882 肾上腺素标准品(Adrenaline)
·
OTS-G34-060081-01-01 ISO Guide 34 - Thallium 10,000 mg/L in 4% HNO3 100 ml (Tl Metal)
·
SPR02318 大花蟛蜞菊烯酸对照品
首 页
|
对照品
|
标准品
|
标准物质
|
实验试剂
|
培养基
|
菌种购买
|
新闻中心
|
联系我们
|
网站地图
2011-2018 河南寻梦版权所有
豫ICP备17046142号