氢化可的松EP杂质G标准品
| 【编号】:BTC2725 【产品名称】:氢化可的松EP杂质G标准品 【规格】:10mg 【用途】: ![]() 氢化可的松EP杂质G标准品
编号:BTC2725
英文:Hydrocortisone EP Impurity G;氢化可的松杂质G
规格:10mg
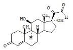
结构图:
![]()
CAS号:14760-49-7
分子式:C21H28O5
分子量:360.45
随货:COA、HPLC、MS、HNMR、图谱
产品类别:氢化可的松杂质
声明:此对照品、标准品由国家标准品网提供查询购买服务
注:点击cas,或者搜索:名称、编号、cas均可显示价格
|
| 上一篇:21-脱氧氢化可的松标准品 | 下一篇:没有了 |
|---|
热销产品 新品上架
产品推荐 相关产品
- ·BTLB140005 Brivanib Alaninate-d6标准品
- ·BTC1621 3-乙酰基-4-羟基香豆素标准品
- ·BTLB-121008 双酚A杂质3-d8标准品
- ·BTC0947 Escitalopram EP Impurity H HCl (Citalopram N-Oxide HCl)
- ·BTC10502 环索奈德标准品
- ·BTC0216 盐酸卡维地洛杂质11标准品
- ·BTLB-076 丁螺环酮杂质K标准品
- ·BTC11709 (E)-3,4-二甲氧基肉桂酸标准品
- ·BTC120002 头孢拉定杂质C(异构体1),头孢拉定杂质D(异构体2)
- ·BTC140014 氯噻酮杂质2标准品



