卡培他滨杂质9标准品
| 【编号】:BTC358 【产品名称】:卡培他滨杂质9标准品 【规格】:10mg 【用途】: ![]() 卡培他滨杂质9标准品
编号:BTC358
英文:Capecitabine Impurity 9
规格:10mg
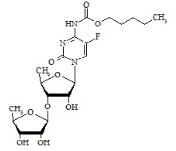
结构图:
![]()
CAS号:1262133-64-1
分子式:C20H30FN3O9
分子量:475.48
随货:COA、HPLC、MS、HNMR、图谱
产品类别:卡培他滨杂质
声明:此对照品、标准品由国家标准品网提供查询购买服务
注:点击cas,或者搜索:名称、编号、cas均可显示价格
|
| 上一篇:四氢尿苷标准品 | 下一篇:没有了 |
|---|
热销产品 新品上架



