搜索
首 页
对照品
标准品
标准物质
实验试剂
培养基
菌种购买
新闻中心
联系我们
当前位置:
标准品
>
标准品
>
dr标准品
>
克拉霉素EP杂质H标准品
【编号】:BTC3719
【产品名称】:克拉霉素EP杂质H标准品
【规格】:10mg
【用途】:
克拉霉素EP杂质H标准品
编号:BTC3719
英文:Clarithromycin EP Impurity H;克拉霉素杂质H
规格:10mg
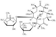
结构图:
CAS号:
127140-69-6
分子式:C38H67NO14
分子量:761.95
随货:COA、HPLC、MS、HNMR、图谱
产品类别:
克拉霉素杂质
声明:此对照品、标准品由国家标准品网提供查询购买服务
注:点击cas,或者搜索:名称、编号、cas均可显示价格
上一篇:
克拉霉素EP杂质A(克拉霉素F)标准品
下一篇:没有了
产品明细
·
美国药典usp标准品
·
进口标准品购买
·
TRC标准品
·
化学标准品
·
英国药典对照品
·
欧洲药典标准品
·
农药标准品
·
中药标准品
·
TLC标准品
·
dr标准品
热销产品
新品上架
·
盐酸阿米洛利杂质(4-氨基-6-氯-1,3-苯基二硫酰胺)
·
核黄素磷酸钠混合物
·
苯噻清分析标准品
·
特丁噻草隆标准溶液
·
人参皂苷Rb1对照品
·
α-甲基吡啶对照品
·
环己二胺二硝酸合铂 (供奥沙利铂杂质Ⅰ检查)
·
5-羟基色氨酸对照品
·
曲克芦丁对照品
·
7-羟基-5,8-二甲氧基黄烷酮对照品
·
克拉霉素EP杂质H标准品
·
克拉霉素EP杂质A(克拉霉素F)标准品
·
克拉霉素EP杂质P标准品
·
克拉霉素EP杂质B标准品
·
克拉霉素EP杂质O标准品
·
克拉霉素EP杂质N标准品
·
克拉霉素EP杂质M标准品
·
克拉霉素EP杂质L标准品
·
克拉霉素EP杂质K标准品
·
克拉霉素EP杂质C标准品
产品推荐
相关产品
·
BTC195015 氯米帕明氮氧化物(Clomipramine N-Oxide)
·
BTC195017 8-羟基去甲基氯米帕明标准品(8-Hydroxy Desmethyl Clomipramine)
·
BTLB-505 酒石酸贝他斯汀杂质A标准品
·
BTC0932 Citadiol HBr标准品
·
BTLB-112002 (R)-(+)-(3,4-Dimethoxy)benzyl-1-Phenylethylamine
·
BTC351 卡培他滨-d11标准品(Capecitabine-d11)
·
BTC278006 克立硼罗杂质4标准品
·
BTLB-087006 溴夫定-13C4-15N2标准品
·
BTC1034 Colesevelam Hydroxyquat Impurity
·
BTC152007 Canagliflozin Ring Opening Impurity
·
结晶度对球晶高低的尺寸对聚合物性质性能的影
·
S673650 三乙酰氧基硼氢化钠(工业级)
·
HB9007 厌氧卵黄琼脂基础
·
ASD-APP-9-182 2-甲基吡啶标准溶液 100 μg/mL于甲醇, 1mL
·
ASD-R-026S 2,8-二硝基二苯并噻吩标准品 100 μg/mL于甲苯, 1mL
·
TB683235 3-(2-Bromoethyl)-7-hydroxy-4-methyl-coumarin
·
118808 内吗啡肽1
·
109288 丽丝胺罗丹明B, 85%,用于细胞培养
·
D230130 3,4-脱氢-L-脯氨酸标准品
·
N496940 N-(对硝基苯乙基)螺哌隆标准品
首 页
|
对照品
|
标准品
|
标准物质
|
实验试剂
|
培养基
|
菌种购买
|
新闻中心
|
联系我们
|
网站地图
2011-2018 河南寻梦版权所有 豫ICP备17046142号