搜索
首 页
对照品
标准品
标准物质
实验试剂
培养基
菌种购买
新闻中心
联系我们
当前位置:
标准品
>
标准品
>
dr标准品
>
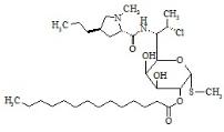
克林霉素肉豆蔻酸酯标准品
【编号】:BTC5019
【产品名称】:克林霉素肉豆蔻酸酯标准品
【规格】:10mg
【用途】:
克林霉素肉豆蔻酸酯标准品
编号:BTC5019
英文:Clindamycin Myristate
规格:10mg
结构图:
CAS号:
1123211-66-4
分子式:C32H59ClN2O6S
分子量:635.35
随货:COA、HPLC、MS、HNMR、图谱
产品类别:进口杂质对照品
声明:此对照品、标准品由国家标准品网提供查询购买服务
注:点击cas,或者搜索:名称、编号、cas均可显示价格
上一篇:
Clindamycin Laurate HCl
下一篇:没有了
产品明细
·
美国药典usp标准品
·
进口标准品购买
·
TRC标准品
·
化学标准品
·
英国药典对照品
·
欧洲药典标准品
·
农药标准品
·
中药标准品
·
TLC标准品
·
dr标准品
热销产品
新品上架
·
盐酸阿米洛利杂质(4-氨基-6-氯-1,3-苯基二硫酰胺)
·
核黄素磷酸钠混合物
·
苯噻清分析标准品
·
特丁噻草隆标准溶液
·
人参皂苷Rb1对照品
·
α-甲基吡啶对照品
·
环己二胺二硝酸合铂 (供奥沙利铂杂质Ⅰ检查)
·
5-羟基色氨酸对照品
·
曲克芦丁对照品
·
7-羟基-5,8-二甲氧基黄烷酮对照品
·
酿酒酵母
·
酿酒酵母
·
酿酒酵母
·
克林霉素肉豆蔻酸酯标准品
·
酿酒酵母
·
酿酒酵母
·
酿酒酵母
·
Clindamycin Laurate HCl
·
酿酒酵母
·
酿酒酵母
产品推荐
相关产品
·
BTLB-526 苯并芘相关化合物2标准品
·
BTC1053 Ceftazidime EP Impurity C Chloride
·
BTC388 桂利嗪EP杂质E标准品
·
BTC199003 克利贝特杂质2标准品
·
BTLB6424 伯舒替尼杂质20标准品
·
BTC213001 塞利洛尔标准品
·
BTC151003 (-)-表没食子儿茶素没食子酸酯标准品
·
BTC165011 50-羧基氰钴胺素标准品
·
BTLB-4318 苯达莫司汀相关杂质2标准品
·
BTC10708 卡铂杂质5标准品
·
D104497 1-溴-3-甲基-2-丁烯, 90%
·
B104130 苯磺酸 98%,无水级
·
GSB07-1982-2005 甲醇中5种挥发性卤代烃混合(II)
·
ASD-FL-0005-NB F005 Solvent List Component Mix
·
BLD32-1602-11 1,2-二棕榈精标准品
·
B204900 2,3-Benzoperylene标准品
·
C258750 头孢菌素C锌盐标准品
·
YA12240600MB 4,4'-二溴八氟联苯标准品
·
BTC10515 头孢他啶杂质5标准品
·
BTE892725 5-(2-Ethoxyphenyl)-1-methyl-3-n-propyl-1,6-dihydro-7H-pyrazolo[4,3-d]pyrimidin-7-one
首 页
|
对照品
|
标准品
|
标准物质
|
实验试剂
|
培养基
|
菌种购买
|
新闻中心
|
联系我们
|
网站地图
2011-2018 河南寻梦版权所有 豫ICP备17046142号