利奈唑胺二聚体标准品
                    | 【编号】:L466520 【产品名称】:利奈唑胺二聚体标准品 【规格】:2.5mg,25mg 【用途】:  利奈唑胺二聚体标准品
	  货号:L466520 
	  英文名称:Linezolid Dimer 
	  别名:N,N-bis[[(5S)-3-[3-fluoro-4-(4-morpholinyl)phenyl]-2-oxo-5-oxazolidinyl]methyl]acetamide; 
	  规格:2.5mg,25mg 
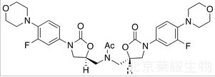
	  结构式:  
	  CAS号:908143-04-4 
	  分子式:C30H35F2N5O7 
	  分子量:615.62 
	  产品类别:加拿大标准品,莱耀生物提供 
	  注:产品信息以英文名称为准 | 
| 上一篇:(R)-利奈唑胺-d3标准品 | 下一篇:亚油酸-1-13C标准品 | 
|---|
热销产品 新品上架
产品推荐 相关产品
- ·G360595 Gentamicin C2 Pentaacetate Salt
- ·D441750 rac Didesisopropyl Tolterodine标准品
- ·P702002 普伐他汀-D3钠盐标准品(Pravastatin-d3 Sodium Salt (major))
- ·B285899 N-(苄氧羰基)-L-β-氯丙氨酸苄酯
- ·M165009 D-甘露糖醇-1,1'-d2标准品(D-Mannitol-1,1'-d2)
- ·D449118 1,4-Dihydro-2,6-dimethyl-4-(3-nitrophenyl)-3,5-pyridinedicarboxylic Acid 3-(2-Cyanoethyl)
- ·A658750 1,6-Anhydro-2,3,4-tri-O-benzyl-β-D-glucopyranose
- ·P227255 9-[[9-[(4,4,5,5,5-Pentafluoropentyl)sulfenyl]nonyl]sulfenyl]nonyl Bromide
- ·U830005 Uridine 5’-Monophosphate Disodium Salt
- ·G155700 D-半乳糖五乙酸酯标准品

