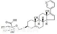
Abiraterone-beta-D-Glucuronide
| 【编号】:BTLA-826 【产品名称】:Abiraterone-beta-D-Glucuronide 【规格】:10mg 【用途】: ![]() Abiraterone-beta-D-Glucuronide标准品
编号:BTLA-826
英文:Abiraterone-beta-D-Glucuronide
规格:10mg
![]()
分子式:C30H39NO7
分子量:525.65
产品类别:杂质对照品,由国家标准品网www.gbw.org.cn提供
注:点击cas号即可显示价格
|
| 上一篇:Abiraterone N-Oxide Sulfate Sodium Salt | 下一篇:没有了 |
|---|
热销产品 新品上架



