搜索
首 页
对照品
标准品
标准物质
实验试剂
培养基
菌种购买
新闻中心
联系我们
当前位置:
标准品
>
对照品
>
丙酸氟替卡松杂质V对照品
【编号】:YJ-510218
【产品名称】:丙酸氟替卡松杂质V对照品
【规格】:20mg
【价格】:800元
丙酸氟替卡松杂质 V对照品
Fluticasone Propionate Impurity V
【类别】化学对照品
【批号】510218-202101
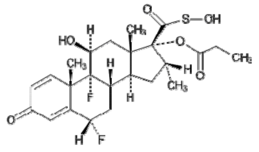
【结构式】
【分子式】C24H 30 F2 O6 S
【分子量】484.55
【CAS 号】948566-12-9
【用途】供 HPLC 法检查用。
【使用方法】使用前不需干燥处理。
【包装】棕色西林瓶
【规格】20mg/支
【贮藏】遮光,密闭,-20℃保存。
类型:
丙酸氟替卡松杂质
上一篇:
丙酸氟替卡松杂质IV对照品
下一篇:没有了
产品明细
·
化学对照品
·
自制对照品
·
对照药材
·
中药对照品
·
工作对照品
·
标准对照品
·
杂质对照品
·
中检所对照品
热销产品
新品上架
·
盐酸阿米洛利杂质(4-氨基-6-氯-1,3-苯基二硫酰胺)
·
核黄素磷酸钠混合物
·
苯噻清分析标准品
·
特丁噻草隆标准溶液
·
人参皂苷Rb1对照品
·
α-甲基吡啶对照品
·
环己二胺二硝酸合铂 (供奥沙利铂杂质Ⅰ检查)
·
5-羟基色氨酸对照品
·
曲克芦丁对照品
·
7-羟基-5,8-二甲氧基黄烷酮对照品
·
丙酸氟替卡松杂质V对照品
·
丙酸氟替卡松杂质IV对照品
·
丙酸氟替卡松杂质I对照品
·
异丙托溴铵杂质C对照品
·
异丙托溴铵杂质B对照品
·
异丙托溴铵杂质A对照品
·
比拉斯汀杂质7标准品
·
比拉斯汀杂质6标准品
·
比拉斯汀杂质5标准品
·
比拉斯汀杂质4标准品
产品推荐
相关产品
·
VIP(CT)100171 草灭畏标准品
·
VIP(S)133720 石上柏空白基质样品
·
VIP(CT)100453 氟啶酮标准品
·
VIP(AS)01899 非布索坦杂质91标准品
·
VIP(XL)05583 金莲花碱对照品
·
PR1277 高黄芩素对照品
·
VIP(TP)147095 饮料中山梨酸、苯甲酸、糖精钠、安赛蜜质控样品
·
SPR04220 淫羊藿次甙D2对照品
·
VIP(XL)80917 9-(1H-苯并三唑-1-基甲基)-9H-咔唑对照品
·
YJ-410047 卡贝缩宫素杂质B对照品
·
BTLA-169006 醋丁洛尔杂质E标准品
·
A766510 熊果苷标准品
·
ASD-M-632-05 氯苯胺灵标准品 0.1 mg/mL于乙腈, 1mL
·
JI22138 植物乳杆菌
·
VIP(DS)1301 3,5-二烃基-4,7-二甲氧基黄酮对照品
·
C14648000 氯雷他定标准品
·
D226960 3-O-Decyclopropyl Roflumilast
·
121604 1,3-二咔唑-9-基苯98%
·
B679105 3-(2-Bromoacetyl)-5-chloro-N-(3-methoxypropyl)-2-thiophenesulfonamide
·
UP1598450 雷尼替丁分辨率混合物(Ranitidine Resolution Mixture)
首 页
|
对照品
|
标准品
|
标准物质
|
实验试剂
|
培养基
|
菌种购买
|
新闻中心
|
联系我们
|
网站地图
2011-2018 中检计量-莱耀生物@版权所有