4-去甲基-盐酸柔红霉素对照品
                    | 【编号】:YJ-130647 【产品名称】:4-去甲基-盐酸柔红霉素对照品 【规格】:20mg 【价格】:880元  4-去甲基-盐酸柔红霉素对照品
	  英文:4-demethyl-daunorubicin Hydrochloride 
	  类别:化学对照品 
	  批号:130647-202101 
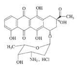
	  结构式:  
	  分子式:C26H27NO10·HCl 
	  分子量:549.95 
	  用途:供盐酸伊达比星及其制剂品种的 HPLC 含量测定及有关物质 
	  检查系统适用性检查用。 
	  使用方法:使用前不需干燥处理。 
	  包装:棕色直管 
	  规格:20mg/支 
	  贮藏:2-8℃保存。 
	  注意事项:本品建议打开包装一次性使用完毕。 | 
| 上一篇:盐酸伊达比星对照品 | 下一篇:没有了 | 
|---|
热销产品 新品上架

