头孢匹胺对照品
| 【编号】:YJ-130505 【产品名称】:头孢匹胺对照品 【规格】:100mg 【用途】:供高效液相含量测定用 ![]() 头孢匹胺对照品
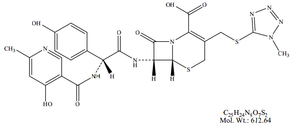
结构式:
![]()
用途:本对照品为头孢匹胺,供高效液相含量测定用。
包装及装量:安瓿;约 100mg/支
保存条件:置 4℃以下条件低温避光保存。启开安瓿后密闭保持干燥以防吸水。
本品仅供国家药品标准对应项下检验检测用,若作他用,用户须自行证明适用性。
|
| 上一篇:头孢唑啉对照品 | 下一篇:盐酸多柔比星对照品 |
|---|
热销产品 新品上架
产品推荐 相关产品
- ·YJ-510089 隐色结晶紫对照品
- ·YJ-100394 乙水杨胺对照品
- ·YJ-130580 头孢美唑对照品
- ·YJ-140761 环-(L-丙氨酰-L-谷氨酰胺)对照品
- ·YJ-520042 氨基他达拉非对照品
- ·YJ-100347 黄豆甙元对照品
- ·YJ-101305 葡辛胺对照品
- ·YJ-111943 牛磺猪去氧胆酸对照品
- ·YJ-100986 盐酸乙哌立松对照品
- ·YJ-101406 右布洛芬杂质I(α-甲基-4-丁基苯乙酸)
- ·52523 3,4,5-三氯酚3,4,5-Trichlorophenol
- ·SPR00080 Shoreic acid对照品
- ·E916550 Ethyl(2S,3R)-2,3-Dihydroxy-3-(2-pyridinyl)propanoate,N-Oxide
- ·DC12410000 4,4‘-二氯二苯甲酮(4,4‘-DBP)标准品
- ·ASD-FU-029-D-40X Biodiesel 100 标准品 20 mg/mL于二氯甲烷, 1mL
- ·PR0008 1,8-二羟基蒽醌对照品
- ·B690027 Butamirate-d5 Citrate标准品(枸橼酸布他米酯-d5)
- ·C995003 L-半胱氨酸1-13C标准品(L-Cysteine-1-13C)
- ·GNM-M15203-2013 铝、钴、铬、铜、铁、锰、钼、镍、铅、硅、钽、铊、钒、钨、锌混合
- ·A0354 马钱苷酸对照品



