头孢呋辛杂质5标准品
                    | 【编号】:BTC10625 【产品名称】:头孢呋辛杂质5标准品 【规格】:10mg 【用途】:  头孢呋辛杂质5标准品
	  编号:BTC10625 
	  英文:Cefuroxime Impurity 5 
	  规格:10mg 
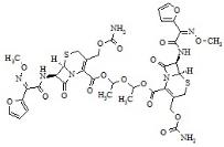
	  结构图:  
	  分子式:C36H38N8O17S2 
	  分子量:918.88 
	  随货:COA、HPLC、MS、HNMR、图谱 
	  产品类别:进口杂质对照品,由国家标准品网提供查询购买服务 
	注:点击cas号即可显示价格  | 
| 上一篇:Cefuroxime Impurity B (E-Cefuroxime Axetil)-d3 | 下一篇:没有了 | 
|---|
热销产品 新品上架
产品推荐 相关产品
- ·BTLB-495 盐酸苄达明-d6标准品
- ·BTLB-065035 Betamethasone-4,6,6,20,20-d5 21-PhosphateDisodium Salt
- ·BTC0941 西酞普兰相关化合物V标准品
- ·BTLB-358 7-生物蝶呤标准品(7-Biopterin)
- ·BTC1029 Cyclophosphamide impurity (3-((2-(Aziridin-1-yl)ethyl)amino)propyl dihydrogen phosphate)
- ·BTLB-4628 硼替佐米杂质11标准品
- ·BTLB-139010 3-ethylstyrene标准品
- ·BTLB-0724 丁螺环酮杂质3标准品
- ·BTC016 坎地沙坦酯杂质B标准品
- ·BTLB-074001 Buflomedil Related Impurity

