搜索
首 页
对照品
标准品
标准物质
实验试剂
培养基
菌种购买
新闻中心
联系我们
当前位置:
标准品
>
标准品
>
dr标准品
>
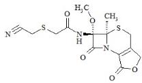
头孢美唑相关化合物1标准品
【编号】:BTC126002
【产品名称】:头孢美唑相关化合物1标准品
【规格】:10mg
【用途】:
头孢美唑相关化合物1标准品
编号:BTC126002
英文:Cefmetazole Related Compound 1
规格:10mg
结构图:
分子式:C14H15N3O5S2
分子量:369.42
随货:COA、HPLC、MS、HNMR、图谱
产品类别:
进口杂质对照品
,由国家标准品网提供查询购买服务
注:点击cas号即可显示价格
上一篇:
S-Decyanomethyl-S-(1-methyl-1H-tetrazol-5-yl) Cefmetazole
下一篇:没有了
产品明细
·
美国药典usp标准品
·
进口标准品购买
·
TRC标准品
·
化学标准品
·
英国药典对照品
·
欧洲药典标准品
·
农药标准品
·
中药标准品
·
TLC标准品
·
dr标准品
热销产品
新品上架
·
盐酸阿米洛利杂质(4-氨基-6-氯-1,3-苯基二硫酰胺)
·
核黄素磷酸钠混合物
·
苯噻清分析标准品
·
特丁噻草隆标准溶液
·
人参皂苷Rb1对照品
·
α-甲基吡啶对照品
·
环己二胺二硝酸合铂 (供奥沙利铂杂质Ⅰ检查)
·
5-羟基色氨酸对照品
·
曲克芦丁对照品
·
7-羟基-5,8-二甲氧基黄烷酮对照品
·
头孢美唑相关化合物1标准品
·
S-Decyanomethyl-S-(1-methyl-1H-tetrazol-5-yl) Cefmetazole
·
氯丙嗪EP杂质E标准品
·
Chlorpromazine Sulfon标准品
·
Norchlorpromazine Sulfoxide HCl
·
油酸酰胺标准品
·
盐酸小檗碱对照品
·
DL-蛋氨酸标准品
·
牛血清白蛋白
·
假裸囊菌属
产品推荐
相关产品
·
BTLB-084 盐酸苄丝肼-d3标准品
·
BTC104002 头孢卡品-d5标准品
·
BTLB-472 溴芬酸钠-d4标准品
·
BTLB-585 盐酸布康唑杂质4标准品
·
BTLB-144001 黄细心酮B标准品
·
BTC122003 Cobicistat Impurity HCl (2-[4-(Methylamino)methyl-1,3-Thiazole-2-yl] Propane-2-ol HCl)
·
BTC1028 N-脱氯乙基环磷酰胺标准品
·
BTLB-0932 比索洛尔杂质8标准品
·
BTLB-3510 生物喋呤-13C-D3标准品
·
BTC122004 Cobicistat Impurity ((2S)-2-Amino-4-Meorpholine-4-yl-Butanoic Acid)
·
C3H/10T1/2, Clone 8 小鼠胚胎成纤维细胞C3H/10T1/2, Clone 8
·
SPR01540 Betulalbuside A对照品
·
CICC32788 酿酒酵母
·
E104388 乙二醇二甲醚,AR,99.5%(GC)
·
CICC23810 微球菌属
·
TB682520 7-Bromo-5-(2-chlorophenyl)-1,3-dihydro-2H-thieno[2,3-e]-1,4-diazepin-2-one
·
BTLA-8411 阿齐沙坦杂质J标准品
·
E891500 8-EthoxycarbonyloctylN,N’-Diacetyl-β-chitobioside标准品
·
DC12260100 敌草畏-D3标准品
·
CICC32186 冻胶假丝酵母
首 页
|
对照品
|
标准品
|
标准物质
|
实验试剂
|
培养基
|
菌种购买
|
新闻中心
|
联系我们
|
网站地图
2011-2018 河南寻梦版权所有
豫ICP备17046142号