搜索
首 页
对照品
标准品
标准物质
实验试剂
培养基
菌种购买
新闻中心
联系我们
当前位置:
标准品
>
标准品
>
dr标准品
>
氢化可的松杂质K标准品
【编号】:BTC2727
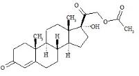
【产品名称】:氢化可的松杂质K标准品
【规格】:10mg
【用途】:
氢化可的松杂质K标准品
编号:BTC2727
英文:Hydrocortisone Impurity K
规格:10mg
结构图:
CAS号:
640-87-9
分子式:C23H32O5
分子量:388.51
随货:COA、HPLC、MS、HNMR、图谱
产品类别:
氢化可的松杂质
声明:此对照品、标准品由国家标准品网提供查询购买服务
注:点击cas,或者搜索:名称、编号、cas均可显示价格
上一篇:
Hydrocortisone Impurity L (Oxenol)
下一篇:没有了
产品明细
·
美国药典usp标准品
·
进口标准品购买
·
TRC标准品
·
化学标准品
·
英国药典对照品
·
欧洲药典标准品
·
农药标准品
·
中药标准品
·
TLC标准品
·
dr标准品
热销产品
新品上架
·
盐酸阿米洛利杂质(4-氨基-6-氯-1,3-苯基二硫酰胺)
·
核黄素磷酸钠混合物
·
苯噻清分析标准品
·
特丁噻草隆标准溶液
·
人参皂苷Rb1对照品
·
α-甲基吡啶对照品
·
环己二胺二硝酸合铂 (供奥沙利铂杂质Ⅰ检查)
·
5-羟基色氨酸对照品
·
曲克芦丁对照品
·
7-羟基-5,8-二甲氧基黄烷酮对照品
·
氢化可的松杂质K标准品
·
Hydrocortisone Impurity L (Oxenol)
·
氢化可的松EP杂质G标准品
·
21-脱氧氢化可的松标准品
·
21-氯氢可的松标准品
·
6-脱氢皮质醇乙酸酯标准品
·
17alpha,20beta-Dihydroxy-4-pregnen-3-one-d4
·
氯美噻唑杂质1标准品(Clomethiazole Impurity 1)
·
Tadalafil(CAS号:171596-29-5)
·
氯美噻唑-D7标准品
产品推荐
相关产品
·
BTLB-4338 苯达莫司汀相关杂质22标准品
·
BTLB-104002 5-乙酰基-2,3-二氢苯并呋喃标准品
·
BTC135004 头孢羟氨苄相关化合物I标准品
·
BTLB-168001 Bempedoic Acid标准品
·
BTC106017 头孢噻肟杂质4标准品
·
BTC101 克伦特罗-d9标准品(Clenbuterol-d9)
·
BTLB-2813 贝尼地平杂质7标准品
·
BTLB-2742 生物素杂质25标准品
·
BTLB-529 苯并芘相关化合物5标准品
·
BTC117010 α-苯基肉桂酸标准品
·
OTS-012873-01-4PAK 2-碘苯酚标准品 1000mg/L于甲醇,4 x 1 ml
·
ASD-P-019N 蝇毒磷标准品
·
B287973 3-(苄氧基)-4-氟苯甲醛标准品
·
103814 4-甲基伞形酮酰磷酸酯, 98%
·
磨砂玻璃杯有毒吗?磨砂玻璃杯怎么去除污垢
·
DL20670000CY Chrysene标准品
·
OTS-020268-04-02-SS 环己酮标准品 25000mg/L于P/T甲醇,1 ml
·
ASD-P-264N 二氧威标准品
·
LY1072 蝙蝠葛诺林碱(96%)
·
H110389 六氯乙烷分析标准品
首 页
|
对照品
|
标准品
|
标准物质
|
实验试剂
|
培养基
|
菌种购买
|
新闻中心
|
联系我们
|
网站地图
2011-2018 河南寻梦版权所有 豫ICP备17046142号